学校概况

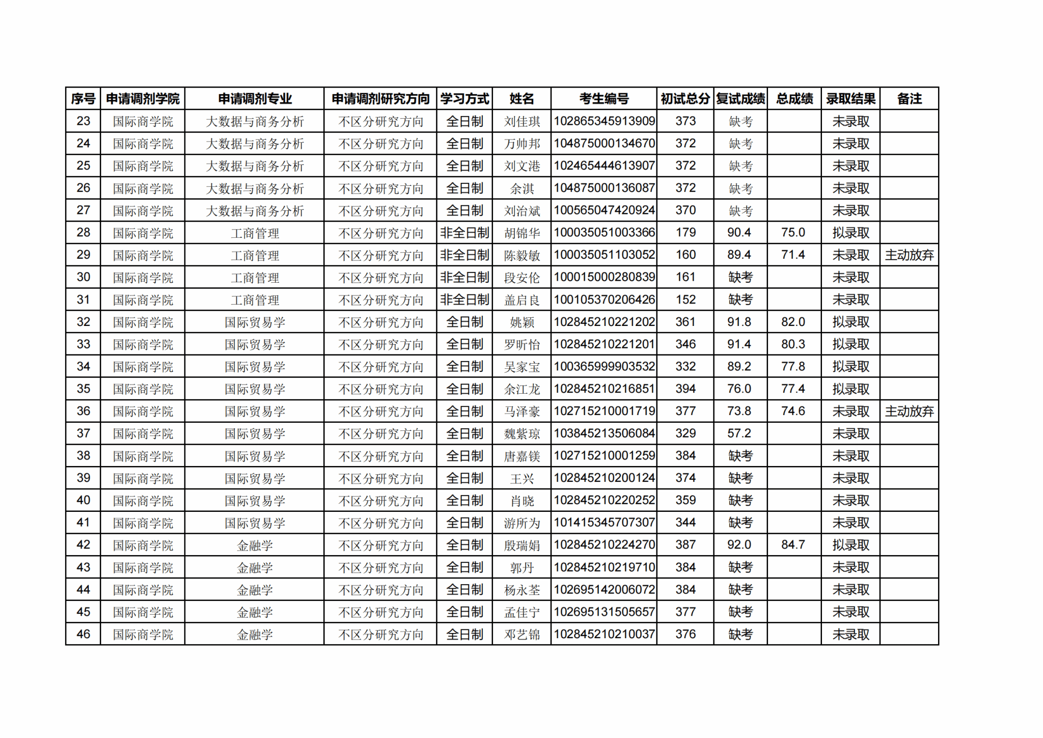
太阳集团网站87222025年硕士研究生招生调剂录取结果

发布日期:2025-05-19

点击量:

 

价值观(Value):多样性 · 可持续性 · 全球视野 · 持续改进

本科教学/招生 88816844

研究生教学/硕博招生 88818121

国际办(国际交流) 88817751

学生事务(辅导员) 88816499

MBA中心 88818052

出国留学招生 88818769/8850/8197

来华留学招生 88816563/6763

北京市海淀区西三环北路19号 北外 (西校区) 国内大厦2号楼

邮编:100089   Email:ibs@bfsu.edu.cn

愿景(Vision)通过共享全球商业实践与科技进步,为未来商业人才提供成长平台,建设一所连接中国和世界商业文明的全球化商学院

使命(Mission)融合多元文化、激发持续创新,培养具有开放视野、社会责任和全球胜任力的未来商业精英

Copyright © 太阳集团城8722(SunCityGroup)有限公司官网-Official website 版权所有

Baidu
sogou